Question

Given an n-ary tree, return the level order traversal of its nodes' values. (ie, from left to right, level by level).

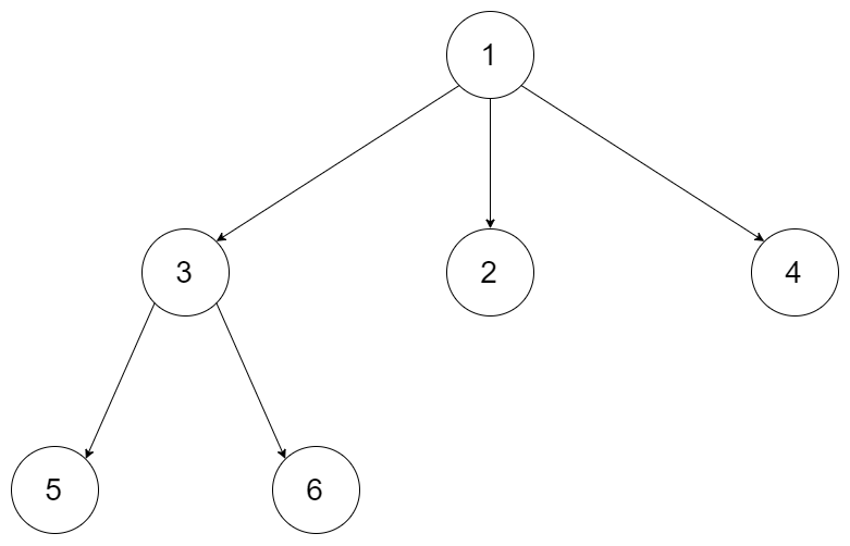
For example, given a 3-ary tree:

We should return its level order traversal:

[
     [1],
     [3,2,4],
     [5,6]
]

Note:

  1. The depth of the tree is at most 1000.
  2. The total number of nodes is at most 5000.

Difficulty:Easy

Category:Tree

Analyze

Solution


class Solution {
 public:
  vector<vector<int>> levelOrder(Node* root) {
    vector<vector<int>> ans;
    travllevel(root, 1, ans);
    return ans;
  }
  void travllevel(Node* root, int level, vector<vector<int>>& ans) {
    if (!root) return;
    if (level > ans.size()) ans.emplace_back(vector<int>());
    ans[level - 1].emplace_back(root->val);
    for (auto& c : root->children) travllevel(c, level + 1, ans);
  }
};
By guozetang            Updated: 2020-09-19 13:02:30

results matching ""

    No results matching ""